硝酸氧化還原反應【硝酸碳化硅換熱器】
發布時間:2020-08-13 11:24:00
一、氧化還原反應
硝酸分子中氮元素為最高價態(+5)因此硝酸具有強氧化性,其還原產物因硝酸濃度的不同而有變化,從總體上說,硝酸濃度越高,平均每分子硝酸得到的電子數越少,濃硝酸的還原產物主要為二氧化氮,稀硝酸主要為一氧化氮,更稀的硝酸可以被還原為一氧化二氮、氮氣、硝酸銨等,需要指出的是,上述只是優勢產物,實際上隨著反應的進行,硝酸濃度逐漸降低,所有還原產物都可能出現。
硝酸有關電勢圖見下:(標況 E/V)
HNO3—0.803→NO2—1.07→HNO2—0.983→NO—1.591→N2O—1.77→N2—0.27→NH4+
HNO3—0.957→NO
HNO3—1.11→N2O
HNO3—1.24→N2
HNO3—0.88→NH4+
典型反應
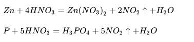
濃硝酸:

稀硝酸:

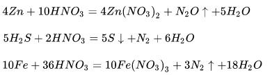
很稀硝酸:

極稀硝酸:

二、硝酸碳化硅換熱器是工業制備硝酸的重要設備之一,無錫錢橋化工機械有限公司研發的硝酸碳化硅冷凝器、熱交換器,采用耐腐蝕碳化硅制成的換熱管是加熱,冷卻和冷凝化學腐蝕性工藝介質的理想選擇。

當前位置: